Selasa, 15 September 2020

Soal F(X) G(X)

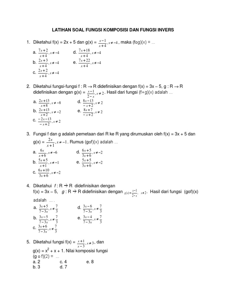
Soal F(X) G(X). (f g)(x) = f (g (x))→ komposisi g (fungsi f bundaran g atau fungsi komposisi dengan g dikerjakan lebih dahulu daripada f) Fungsi komposisi (fog) (x) adalah.

Contoh Soal Fungsi Komposisi Dan Jawaban Pembahasan
Contoh Soal Fungsi Komposisi Dan Jawaban Pembahasan from soalkimia.com
Postingan ini membahas contoh soal limit fungsi yang disertai pembahasannya atau penyelesaiannya. Maka apabila digabungkan/ dikomposisikan menjadi f o g (x) adalah pizza isi nanas sedangkan apabila fungsi komposisi dari g o f (x) adalah sebuah nanas besar yang diletakkan sebagai piringan pizza. Untuk menjawab soal ini, gengs perhatikan kembali sifat nomor 6.

Dari ilustrasi tersebut, terlihat bahwa f o g (x) ≠ g o f (x).

F x, g x , dan h x. Postingan ini membahas contoh soal limit fungsi yang disertai pembahasannya atau penyelesaiannya. Banyak parabola ax 2 + cy = 0 dengan a dan c dua bilangan berbeda yang dipilih dari {0, 1, 4, 16} adalah …. X x f x sin( 2 ) ( ) d.


Tidak ada komentar:

Posting Komentar