Contoh soal dan pembahasan tentang refleksi pencerminan. Ekspansi pecahan parsial menghasilkan b s.
Contoh soal dan pembahasan tentang pencerminan terhadap garis y x dan y.
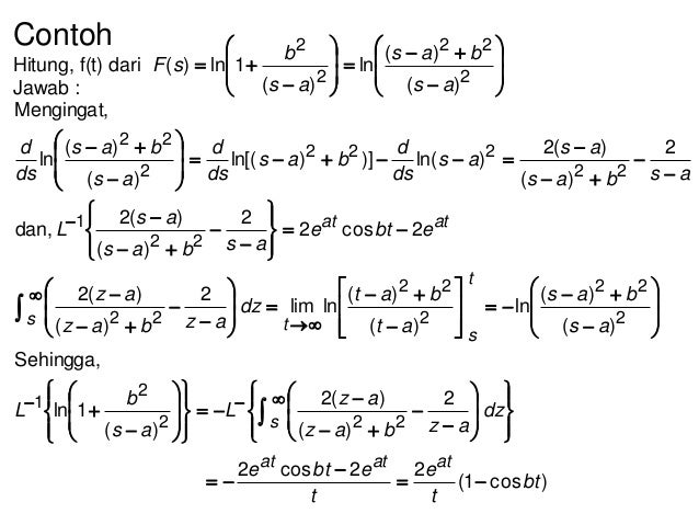
Contoh soal transformasi laplace balik. Contoh soal dan pembahasan tentang pencerminan terhadap sumbu x sumbu y. Transformasi laplace dan invers laplace 37 perhatikan bahwa f t adalah fungsi real dari waktu bila p 1 dan p 2 konjugat kompleks maka residu a 1 dan a 2 juga konjugat kompleks. Sebelum anda menggunakan fakta ini perhatikanlah dua sifat transformasi laplace dalam frame berikut.
1 transformasi laplace 1 transformasi lapalce kompetensi dasar. Secara umum transformasi laplace digunakan mentransformasikan sinyal atau sistem dari kawasan waktu ke kawasan s. S 4 g s s 2 s 1 s 2 d t 2 t 3 e t 2 e 2 t t 0 dt untuk fungsi dalam yang melibatkan banyak kutub maka transformasi laplace baliknya dikerjakan dengan ekspansi parsial sebagai berikut.
Jawaban contoh soal transformasi laplace author. The a team created date. Persamaan 11 fungsi fs adalah transformasi laplace dari ft yang adalah suatu frekuensi s s s jw.
Setelah mengikuti kuliah ini kamu akan dpt menentukan transf laplace utk fgs fgs sederhana memahami sifat sifat trasf laplace menjelaskan tarnsf lapalce invers dan dapat menerapkan transf lapalce pada persamaan difrensial. S 2 2s 3 tinjau f s s 1 3 penyelesaian. Xt yt time domain time domain circuit circuit laplace inverse l l 1 laplace transform s domain transform circuit xs s j complex frequency ys 2 types of s domain circuits with and without initial conditions definisi transformasi laplace l f t f.
Hasil transformasi balik ini menghasilkan penyelesaian persamaan dalam kawasan waktu. Contoh soal dan pembahasan tentang translasi pergeseran. 10 penerapan transformasi laplace pada persamaan.
Pembagian pembilang dengan penyebut menghasilkan. 6 contoh transformasi laplace 3 tl derivatif 5 transformasi laplace 3 1 transformasi laplace 1 4 contoh transformasi laplace 2 3. Jadi transformasi laplace untuk turunan dari fx diberikan dalam bentuk transformasi laplace dari fx itu sendiri dan nilai dari fx untuk x 0.
Contoh soal dan pembahasan tentang transformasi. 11 deret fourier 1 9 contoh soal transformasi lapace 5 8 transformasi laplace 5 7 transformasi lapalce 4 tabel transformasi lap. 182011 60637 am.
Hasil transformasi balik ini menghasilkan penyelesaian persamaan dalam kawasan waktu. Contoh soal dan pembahasan tentang pencerminan terhadap garis x a dan y b. Notasi transfomasi laplace balik dinyatakan dengan contoh 3 tentukan transformasi laplace balik dari ekspansi pecahan parsial dari fs adalah a1 dan a2 diperoleh dengan jadi fungsi alih dalam teori kontrol fungsi alih digunakan untuk mencirikan hubungan masukan dan keluaran dari komponen atau sistem yang dapat digambarkan dengan persamaan.
Belajar Matematika 9 Contoh Soal Transformasi Lapace 5
Belajar Matematika 9 Contoh Soal Transformasi Lapace 5
Modul Iii Transformasi Laplace Ppt Download
Diferensiasi Dan Integrasi Transformasi Laplace Ppt Download
Modul Iii Transformasi Laplace Ppt Download
Transformasi Laplace Teknik Mesin 2011 Universitas Brawijaya
Soal Transformasi Laplace Balik
Ruang Belajar Siswa Kelas 1 Contoh Soal Transformasi Z
Modul Iii Transformasi Laplace Ppt Download
Contoh Soal Dan Jawaban Transformasi Laplace
Contoh Soal Invers Transformasi Z Dan Penyelesaiannya
Modul Iii Transformasi Laplace Ppt Download
Transformasi Laplace Teknik Mesin 2011 Universitas Brawijaya
Belajar Matematika 9 Contoh Soal Transformasi Lapace 5
190383355 Contoh Soal Dan Jawaban Transformasi Laplace Pdf
Penggunaan Metode Transformasi Penggunaan Metode
Modul Iii Transformasi Laplace Ppt Download
Contoh Soal Transformasi Z Zona Ilmu 6
Soal 1 2 4 5 6 Tentukan Invers Transformasi
Contoh Contoh Soal Yang Diuraikan Secara Rinci 2 3
Transformasi Z Dan Invers Serta Aplikasinya
Doc Transformasi Laplace Rahmat Budiarjo Academia Edu
Ppt Transformasi Laplace Fungsi Tangga Satuan
Soal Transformasi Laplace Balik
Doc Jbptunikompp Gdl Triraharjo 23427 14 14 Tran E Dito
Ppt Transformasi Z Powerpoint Presentation Id 6815172
Modul Iii Transformasi Laplace Ppt Download
Teknik Kendali Tanggapan Tanggapan Sistem Chamber Of Madness
Contoh Soal Transformasi Z Dan Penyelesaiannya Pengertian
Soal Buku Tertutup Tentukan Invers Transformasi
Jawaban Tugas Transformasi Laplace
Sistem Engineering Modul 1 Model Dan Sistem
Transformasi Laplace Pdf Document
Doc Bab 6 Transformasi Laplace Dhedi Hermawan Academia Edu
Sistem Kendali Otomatis Transformasi Laplace
4 Invers Transformasi Laplace Invers Transformasi
Diktat Sinyal Dan Sistem Pdf Mata Kuliah Sinyal Dan Sistem
Contoh Soal Transformasi Laplace Dan Jawaban Docx
Materi 14 Transformasi Laplace Invers
Soal Latihan Transformasi Laplace Dan Transformasi Z 2010
Ppt Transformasi Laplace Powerpoint Presentation Id 3674173
Modul6 Invers Transformasi Laplace Invers Transformasi
Penggunaan Metode Transformasi Penggunaan Metode
Transformasi Laplace Pecahan Bagian Kecil Laplace Pecahan
Teknik Kendali Tanggapan Tanggapan Sistem Chamber Of Madness
Modul Iii Transformasi Laplace Ppt Download
Doc Pengertian Dan Pembahasan Tentang Transformasi Laplace
Transformasi Laplace Articles News Stories
Pertemuan 3 Transformasi Laplace Doc Document
Modul6 Invers Transformasi Laplace Invers Transformasi
Latihan Soal Transformasi Linear
Transformasi Laplace Menyelesaikan Persamaan Diferensial
Teknik Kendali Tanggapan Tanggapan Sistem Chamber Of Madness
Doc Transformasi Laplace Adriyan Saputra Academia Edu
03 Transformasi Laplace Doc Document
Transformasi Laplace Teknik Mesin 2011 Universitas Brawijaya
Belajar Matematika 9 Contoh Soal Transformasi Lapace 5
Bab 5e Umpan Balik Negatif Pdf
Transformasi Walsh Docx Document
Erwinelektro Telkomuniversity Ac Id Sistem Kendali
Diferensiasi Dan Integrasi Transformasi Laplace Ppt Download
Ppt Analisis Rangkaian Lis Trik Di Kawasan S Powerpoint
Bablli Model Matematik Sistem Fisik 1 Deskripsi
Sistem Engineering Modul 1 Model Dan Sistem
Transform Laplace Dan Penerapannya Dalam Penyelesaian
Transformasi Laplace Persamaan Differensial
Menghitung Determinan Dan Invers Matriks 4 4 Rahmadya
Erwinelektro Telkomuniversity Ac Id Sistem Kendali
Iii 2 Transformasi Laplace Wordpress Com Mafiadoc Com
Teknik Kendali Tanggapan Tanggapan Sistem Chamber Of Madness
Diktat Sinyal Dan Sistem Pdf Mata Kuliah Sinyal Dan Sistem
Fisika Matematika Ii 2011 2012 3 Transformasi Laplace





















Tidak ada komentar:
Posting Komentar